Описание
Характеристики
Отзывы
Описание
Габаритные и присоединительные размеры (чертеж):

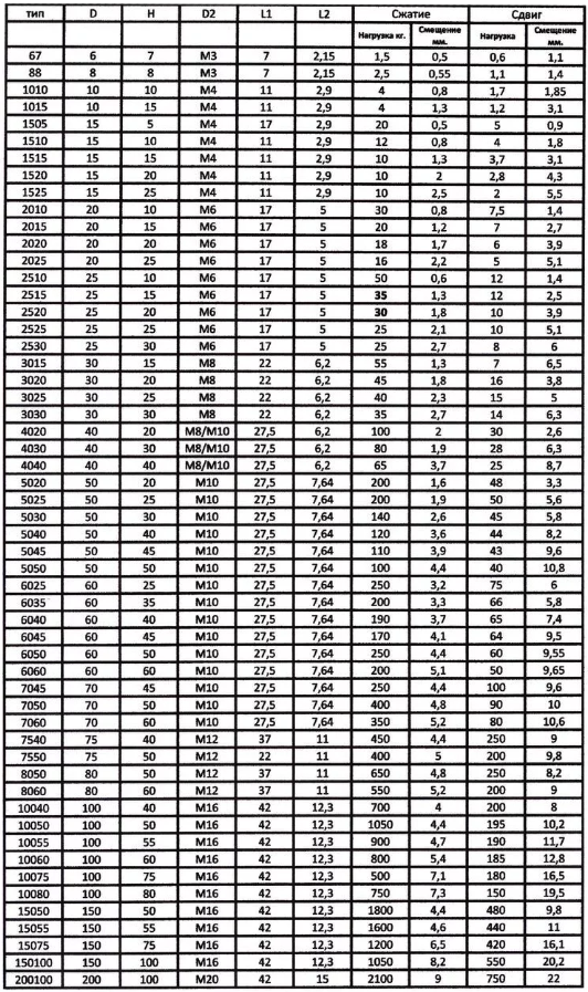
Тип - размер виброопоры соотношение DxH

Характеристики
Резьба
М16
Нагрузка при сжатии, кг
1200
Нагрузка при сдвиге, кг
420
Отзывы
Отзывов еще никто не оставлял
Ранее просмотренные товары