Описание
Характеристики
Отзывы
Описание
Защищают преобразователь частоты от перенапряжения, когда электродвигатель работает в генераторном режиме.
Переводят электрическую энергию от электродвигателя в тепловую.
Поглощают рекуперированную энергию от двигателя, работающего в генераторном режиме.
Технические характеристики:

Габаритные и присоединительные размеры (чертеж):

Тормозные резисторы для преобразователей частоты INNOVERT ISD mini PLUS

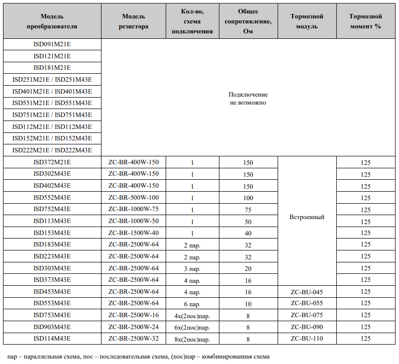
Тормозные резисторы для преобразователей частоты INNOVERT ISD mini

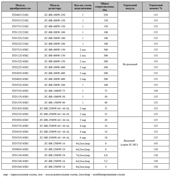
Тормозные резисторы для преобразователей частоты INNOVERT ITD

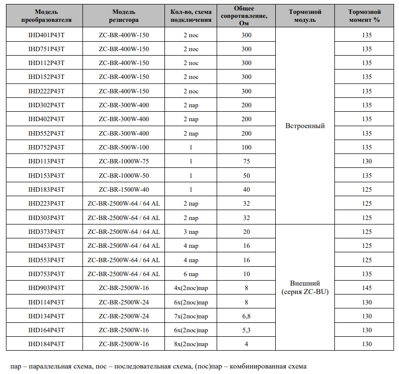
Тормозные резисторы для преобразователей частоты INNOVERT PUMP

Характеристики
Мощность, Вт
2500
Сопротивление, Ом
32
Отзывы
Отзывов еще никто не оставлял
Ранее просмотренные товары