Описание
Характеристики
Отзывы
Описание
Частотный преобразователь INNOVERT серии ISD mini PLUS представляет собой многофункциональный преобразователь частоты, удобный в управлении и настройках.
Отлично подходит для работы в промышленных установках и системах водоснабжения, вентиляции и кондиционирования воздуха, конвейерных системах, экструдерах, металлорежущих станках и пр.
Функции:
- регулирование скорости, задаваемой аналоговыми сигналами, цифровой сетью или ручкой потенциометра на лицевой панели.
- 15 предустановленных скоростей
- 4 различных варианта времён разгона и торможения
- реверсирование
- защита двигателя от перегрузки по току, напряжению
- температурный контроль транзисторного модуля
- торможение постоянным током
- электронный потенциометр (MOP)
- PID режим управления технологическими параметрами (давлением, температурой, расходом и т.д.)
- PLC режим управления скоростью
- Порт RS485, протокол Modbus
Обновление:
- выходная частота до 999,9 Гц
- встроенный таймер 0-999 сек
- два канала задания частоты (можно более точно задавать частоту без дополнительного внешнего оборудования)
- выходное реле с инверсией (NO/NC)
Сохранено:
- Габаритные размеры
- Обозначение и функции клемм
- Группы параметров
Характеристики оборудования


Кодообразование

Габаритные и установочные размеры

Схема подключения


Характеристики
Степень защиты IP
20
Кол-во фаз
3
Температура окружающей среды
-10°C… + 40°C (без обледенения)
Частота, Гц
50/60
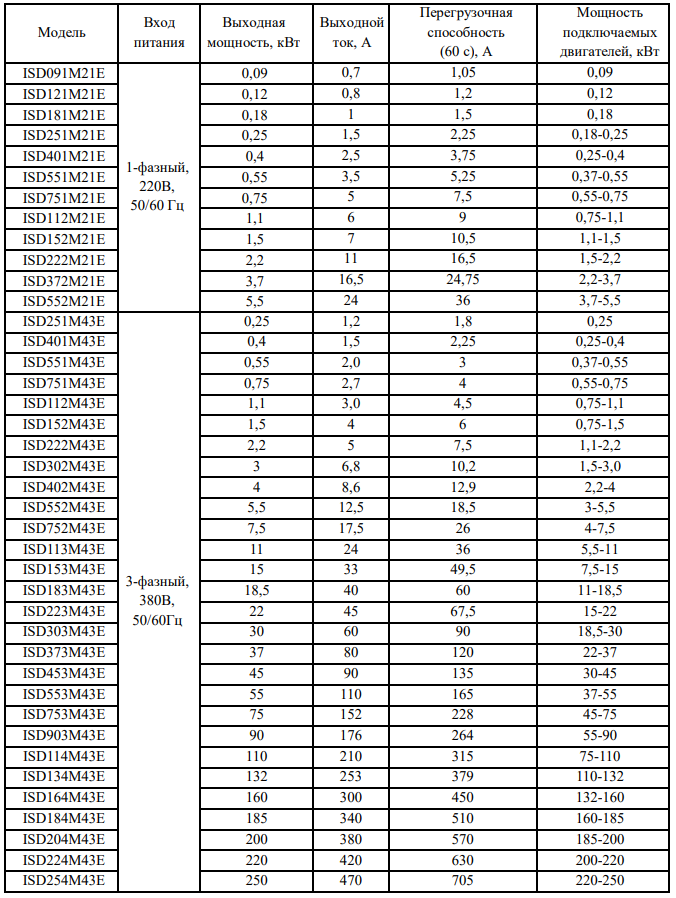
Выходной ток, А
420
Выходное напряжение, В
Трехфазное, 380: 0~380В
Выходная мощность, кВт
220
Перегрузочная способность [(60 с) (A)]
630
Влажность воздуха
Макс. 95% (без конденсата)
Абсолютная высота
Ниже 1000 м
Вибрация
Макс. 0,5 g
Охлаждение
Принудительное воздушное охлаждение
Место монтажа
На стену / монтажную панель
Дисплей
Четырёхразрядный экранный дисплей, индикаторное световое табло
Защита от перегрузок
150% в течение 1 мин.
Защита от перенапряжений
Для защиты от импульсных перенапряжений сети устанавливается сетевой дроссель (опция). Уровень срабатывания защиты от перенапряжения в звене постоянного тока может быть скорректирован пользователем
Защита от пониженного напряжения
Уровень срабатывания защиты может быть скорректирован пользователем
Допустимый диапазон входного напряжения
380~440В
Входное напряжение, В
380
Все характеристики
Отзывы
Отзывов еще никто не оставлял
Ранее просмотренные товары