ОПИСАНИЕ
Осевые вентиляторы реверсивные ОВР (замена ВО-16-300) низкого давления используются для приточной и вытяжной вентиляции.
Особенностью вентилятора является возможность перемещать воздух как в прямом — так и в обратном направлении при незначительном снижении подачи воздуха (на 10 % в режиме реверс). Для реверсирования работы вентилятора используются специальные реверсивные стартеры. Производительность и скорость вращения рабочего колеса вентилятора рекомендуется осуществлять при помощи многоступенчатых трансформаторов либо частотных регуляторов.
ГАБАРИТНЫЕ РАЗМЕРЫ
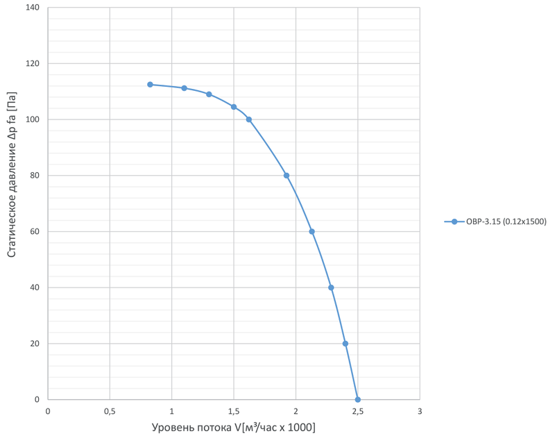
АЭРОДИНАМИЧЕСКИЕ ХАРАКТЕРИСТИКИ

КОНСТРУКЦИЯ

Корпус вентилятора изготавливается из оцинкованной стали с дополнительным полимерным покрытием.
СХЕМА МОНТАЖА
Монтаж осевого вентилятора ОВР может быть осуществлен различными способами:
1. Монтаж в воздуховод.
Для монтажа на конечных участках воздуховодов рекомендуется использовать гибкие вставки.

2. Монтаж вентилятора на подставку.
Для монтажа на плоские горизонтальные поверхности реверсивный вентилятор может комплектоваться специальной подставкой.

3. Монтаж вентилятора на цепи.
Подвешивание реверсивного вентилятора может осуществляться за специальные кронштейны по бокам корпуса вентилятора, которые идут в комплекте.

СХЕМА ПОДКЛЮЧЕНИЯ
